Ako se pločica i lopta bace po horizontalnoj podlozi, kretaće se sve sporije i najzad će se zaustaviti. Uzrok je delovanje sile trenja koja deluje suprotno od kretanja tela.
- Sila trenja zavisi od sili kojom se uzajamno pritiskaju dva tela tj. sili koja deluje normalno na podlogu.
- Sila trenja zavisi od osobina tela čije se površine dodiruju.
- Sila trenja ne zavisi od veličine dodirne površine.
(slika iz nove fizike za sedmi razred kad se kvadar vuče na različitim stranama i uvek dinamometar pokazuje istu silu-slika je kod sile trenja)
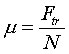
Odnos izmedju sile trenja
i
normalne sile
na podlogu konstantan je za iste supstancije i zove se koeficijent
trenja. Obeležava se grčkim slovom
i matematički se izražava:

Koeficijenti trenja su eksperimentalno utvrdjeni za sve supstance i koriste se za izračunavanje sile trenja, po obrascu:
![]()
Sila trenja kotrljanja manja je od sile trenja klizanja.

Zato se trenje klizanja zamenjuje trenjem kotrljanja gde god je to moguće. Ovo se naročito zapaža kod vozila i drugih mašina sa točkovima i obrtnim delovima.